Data Bridge Market Research has recently added a concise research on Global hydroxyl-terminated polybutadiene (HTPB) market to depict valuable insights related to significant market trends driving the industry. The report features analysis based on key opportunities and challenges confronted by market leaders while highlighting their competitive setting and corporate strategies for the estimated timeline. Some are the key & emerging players that are part of coverage and have being profiled are CRS Chemicals, Island Pyrochemical Industries (IPI), Zibo Qilong Chemical Co., Ltd., Cray Valley, Orion Chem Pvt Ltd, Polymer Source. Inc., Evonik Industries AG and Idemitsu Kosan Co., Ltd

Definition:

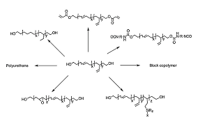
Hydroxyl-terminated polybutadiene (HTPB) is an oligomer of butadiene terminated at each end with a hydroxyl functional group. It reacts with isocyanates to form polyurethane polymers. HTPB is a translucent liquid with a colour similar to wax paper and a viscosity similar to corn syrup. An important application of HTPB is in solid rocket propellant. It binds the oxidizing agent and other ingredients into a solid but elastic mass. These hydroxyl-terminated polybutadiene (HTPB) resins are characterized by low volatiles content, low glass transition temperatures, excellent hydrophobicity and a high level of reactive functionality.

Analysis of Global hydroxyl-terminated polybutadiene (HTPB) market report:

Global hydroxyl-terminated polybutadiene (HTPB) market is expected to register a substantial CAGR of 6.3% in the forecast period of 2019-2026.

A FREE sample of this report is available upon request @https://www.databridgemarketresearch.com/request-a-sample/?dbmr=global-hydroxyl-terminated-polybutadiene-htpb-market

Top Manufacturers Profiles Operating in the Global hydroxyl-terminated polybutadiene (HTPB) market:

Some of the major players operating in this market are CRS Chemicals, Island Pyrochemical Industries (IPI), Zibo Qilong Chemical Co., Ltd., Cray Valley, Orion Chem Pvt Ltd, Polymer Source. Inc., Evonik Industries AG and Idemitsu Kosan Co., Ltd

Global hydroxyl-terminated polybutadiene (HTPB) market Segmentation:

·         On the basis of type, the market is segmented into conventional hydroxyl terminated polybutadienes, low molecular weight hydroxyl terminated polybutadienes.

·         On the basis of application, the market is segmented into rocket fuel, waterproof coatings & membranes, adhesives and sealants, potting and encapsulation, others.

·         On the basis of end-user, the market is segmented into aerospace & defence, automotive, building and construction, electrical & electronics, others.

Table of Content:

Part 01: Executive Summary

Part 02: Scope of the Report

Part 03: Research Methodology

Part 04: Global hydroxyl-terminated polybutadiene (HTPB) market Landscape

·         Market Ecosystem

·         Market Characteristics

·         Market Segmentation Analysis

Part 05: Market Sizing

·         Market Definition

·         Market Sizing 2019

·         Market Size And Forecast 2019-2026

Part 06: Customer Landscape

Part 07: Global hydroxyl-terminated polybutadiene (HTPB) market Regional Landscape

·         Geographical Segmentation

·         Regional Comparison

·         Americas – Market Size And Forecast 2019-2026

·         EMEA – Market Size And Forecast 2019-2026

·         APAC – Market Size And Forecast 2019-2026

Part 08: Decision Framework

Part 09: Drivers And Challenges

·         Market Drivers

·         Market Challenges

Part 10: Global hydroxyl-terminated polybutadiene (HTPB) market Trends

Part 11: Vendor Landscape

·         Overview

·         Landscape Disruption

·         Vendors Covered

·         Vendor Classification

·         Market Positioning Of Vendors

Make an Inquiry for Discount On this Report @https://www.databridgemarketresearch.com/inquire-before-buying/?dbmr=global-hydroxyl-terminated-polybutadiene-htpb-market

Get Customization and Discount on Report by emailing sopan.gedam@databridgemarketresearch.com . We are content with our glorious 99.9 % client satisfying rate.

About Us:

Data Bridge Market Research set forth itself as an unconventional and neoteric Market research and consulting firm with unparalleled level of resilience and integrated approaches. We are determined to unearth the best market opportunities and foster efficient information for your business to thrive in the market. Data Bridge Market Research provides appropriate solutions to the complex business challenges and initiates an effortless decision-making process.

Data Bridge adepts in creating satisfied clients who reckon upon our services and rely on our hard work with certitude.

Contact:

Data Bridge Market Research

+1-888-387-2818

Find More Reports Related To This Category

Global Fermentation Chemicals Market

Leave a comment

Design a site like this with WordPress.com
Get started